г. Владивосток
Тел.: 8-914-324-30-05

FAQ

 1. Проверка однофазных двигателей
Однофазным электрооборудованием оборудовано большое количество маломощных холодильных агрегатов, используемых в быту (домашние холодильники, морозильники, бытовые кондиционеры и пр.).
Их двигатели питаются напряжением 220В, и состоят из двух обмоток:
- основная обмотка Р или R, называемая часто рабочей обмоткой, в течение всего времени работы двигателя остается под напряжением и пропускает номинальную силу тока двигателя;
- вспомогательная обмотка А или S, называется также пусковой, имеет большее сопротивление, что позволяет ее легко отличить от основной. Данная обмотка служит для обеспечения запуска двигателя.

Для проверки целостности обмоток необходимо отключить их от сети и замерить сопротивление между ними. В большинстве случаев замеры должны соответствовать: R3,2=R1,2+R1,3

 

Ненормальными показаниями омметра будут:
- замыкания на корпус любой из обмоток;
- обрыв любой обмотки;
- короткое замыкание между обмотками - очень малое сопртивление между ними, стремящееся к нулю.

Также хочется отметить, что проблемы с запусками однофазных двигателей могут быть и по другим причинам:
- вклинивание механической части компрессора;
- неисправные пусковой конденсатор, реле и прочие элементы схемы.

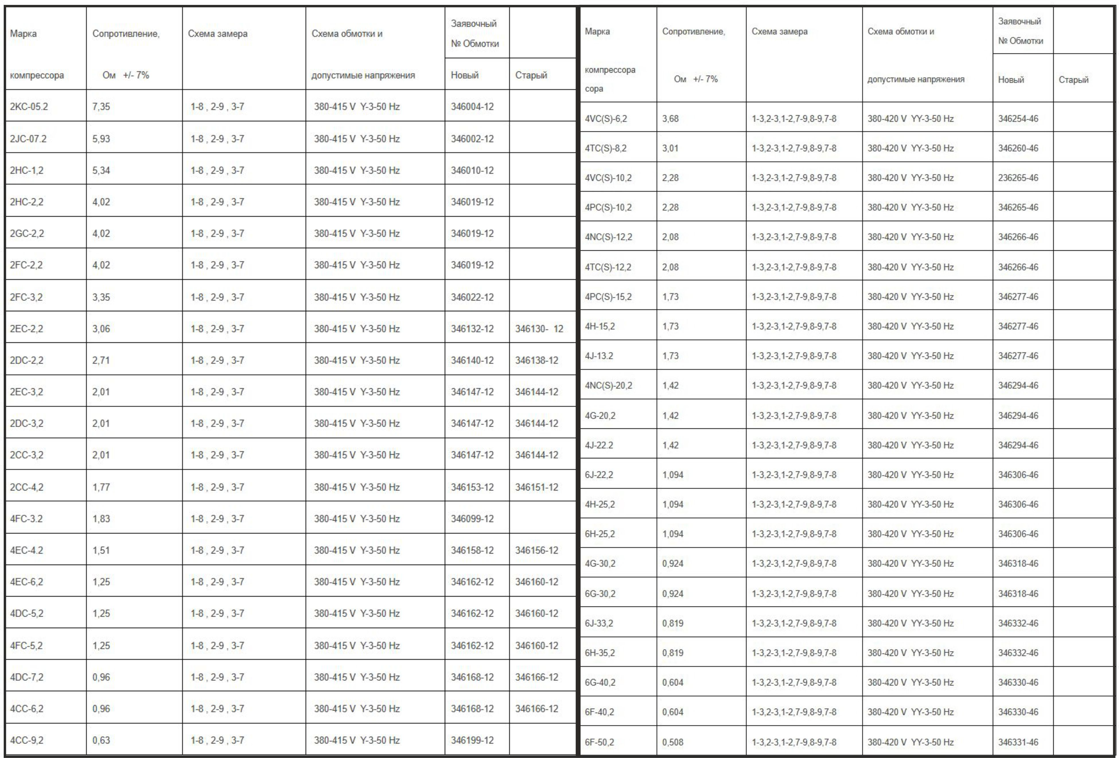
2. Проверка целостности трехфазных статорных обмоток на примере компрессоров Bitzer
У компрессоров Bitzer две основных модификации обмоток - S и P:

S вариант используется на небольших компрессорах, P на более крупных. Замеры необходимо произвести омметром и сравнить их с таблицей ниже, допустимые отклонения - до 7%.

 

 Действительно, казалось бы, отрегулировали летом ТРВ, режим установился и вроде бы, что больше ничего крутить не нужно, но есть нюанс - а что если компрессорный агрегат и жидкостной ресивер находятся не в машинном отделении, а на улице? Случай из практики - в январе месяце температура жидкого хладагента, направляющегося к ТРВ, составила вместо 30-35С летнего значения, всего +3С, то есть переохлаждение фреона сильно увеличилось за счет его нахождения в холодном уличном ресивере. Таким образом ТРВ становится производительнее летнего значения процентов на 40, воздухоохладитель же остался прежним. Если оставить всё без регулировки - то вероятность влажного хода очень высока. В связи с этим - да! Регулировка ТРВ при смене сезона при уличном расположении ресивера - необходима.

Диаметры трубопроводов и запорной арматуры имеют важное значение при сборке холодильного контура по следующим причинам:
- размер диаметра влияет на перепад давления в контуре;
- в зависимости от диаметра меняется скорость потока хладагента;
- неверный подбор может привести к гидроударам и разгерметизации контура;
- диаметр влияет на условия возврата масла.

Поэтому при подборе трубопровода и арматуры следут руководствоваться следующими значениями:

Назначение трубопровода Допустимая скорость, м/с
Всасывающий трубопровод 6-12
Нагнетательный трубопровод 6-12
Жидкостной трубопровод 0,3-1.2

Также важным значением является наличие уклона трубопровода и наличие маслоподъемных петель.

Трубы должны быть в основном расположены горизонтально или вертикально. Исключение составляют:
- горизонтальные участки всасывающего трубопровода, которые выполняют с уклоном не менее 12 мм на 1 м в сторону компрессора для облегчения возврата в него масла;
- горизонтальные участки нагнетательного трубопровода, которые выполняют с уклоном не менее 12 мм на 1 м в сторону конденсатора.

В нижних частях восходящих вертикальных участков всасывающих и нагнетательных магистралей высотой более 3 метров необходимо монтировать маслоподъемные петли.
Если высота восходящего участка более 7,5 метров, то должна устанавливаться вторая маслолодъемная петля. В общем случае маслоподъемные петли следует монтировать через каждые 7,5 метров восходящего участка всасывающего (нагнетательного) трубопровода.

 Зачастую сталкиваемся в своей практике с тех. персоналом, обслуживающим холодильное оборудование и не понимающим назначение ТРВ, его важности в холодильном контуре и способе регулировки.
Простыми словами - ТРВ, это устройство, которое обеспечивает падение давления хладагента на входе в испаритель до давления  его кипения и обеспечивает самое главное должное заполнение испарителя, иными словами в испаритель должно зайти столько хладагента, чтобы он эффективно в нем выкипел до парообразного состояния и температура паров на выходе из испарителя была на 4-7 градусов выше температуры кипения хладагента - этот эффект называется перегревом хладагента в испарителе.
Таким образом, некомпетентный тех. персонал, желающий ускорить процесс охлаждения, любит открывать ТРВ "на полную", что приводит к очень маленькому перегреву, и в итоге мы имеем капли не выкипевшего фреона,стремящиеся в компрессор, что приводит, в свою очередь, к гидроудару и разрушению компрессора.
Слишком сильное прекрытие ТРВ также не является нормой, перегрев выше 7 градусов приводит к неэффективной работе испарителя - его кпд падает и дает меньше холода. При этом компрессор, который охлаждается всасываемыми парами, получает их с более высокой температурой, растет температура и давление нагнетания, растет рабочий ток, что сказывается на ресурсе жизни компрессора.
Отсюда вывод - поддерживайте перегрев в заданных пределах, способ регулировки описан многократно в технической литературе. А если Вы не хотите касаться этого вопроса - всегда есть возможность установить электронные ТРВ, которые обеспечат эту регулировку самостоятельно.

Если установка правильно собрана или фильтры тонкой очистки установлены на всасывании, то
замена масла обычно не требуется. Если произошло повреждение компрессора или мотора, то необходима проверка на кислотность. При необходимости могут быть приняты меры по очистке: установите кислотный фильтр в линию всасывания и поменяйте масло.

Источник: Инструкция SB-100

Замена масла в холодильных установках заводской сборки не обязательна. При монтаже установки в "полевых условиях" или при эксплуатации компрессора вблизи границ области применения рекомендуется выполнить первую замену масла приблизительно через 100 рабочих часов. Эта процедура также предусматривает замену масляного фильтра и магнитную ловушку метал. частиц. После этого масло заменять, примерно, каждые 3 года или, соответственно, 10000 .. 12000 рабочих часов. Также следует прочищать масляный фильтр и магнитную ловушку. 

Источник: Инструкция КВ-100